使用BeNano 180 Zeta检测明胶溶液流变学信息
明胶(gelatin)是一种大分子的亲水胶体,是胶原部分水解后的产物。按其性能和用途可分为照相明胶、食用明胶和工业明胶。明胶的凝固点通常在25-35℃之间,但具体凝固点会受到明胶类型、浓度以及外界条件如温度、湿度等多种因素的影响。明胶的凝固点是指明胶溶液转变为凝胶状态的温度,在明胶的应用中非常重要。例如,在食品工业中,通过控制明胶的凝固点,可以制作出口感和质地更佳的产品;在医药领域,掌握明胶的凝固点有助于确保胶囊的质量和稳定性。

明胶溶液是明胶使用过程中一种常用状态,其粘度、粘性模量和弹性模量对于其应用过程非常重要。
在这个应用报告中,使用丹东百特公司出品的BeNano 180 Zeta纳米粒度及Zeta电位仪检测了不同温度下的明胶溶液,通过微流变技术得到了溶液的粘弹性信息。

原理
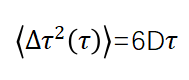
动态光散射微流变中加入粒径范围在0.3–2.0μm的胶体颗粒作为示踪粒子。这些示踪粒子的运动方式反映了周围环境的流变学性质。对于纯粘性流体样品(牛顿流体),示踪粒子在整个样品环境中自由扩散,颗粒的均方位移随时间线性增加。

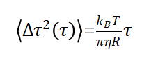
其中D为颗粒的扩散系数,通过代入标准Stokes-Einstein方程:

其中R(h)是示踪粒子的半径,便可以得到MSD与粘度之间的关系:

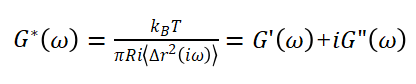
通过方程即可得到牛顿流体的粘度𝜂。然而在一些体系中还包含弹性成分,对于体系,我们用广义Stokes-Einstein方程进行描述:

这个方程可以通过计算依赖于频率的弹性/存储模量G’和粘性/损耗模量G”, 并可以计算复数粘度

以及蠕变柔量

设备
采用丹东百特BeNano 180 Zeta纳米粒度及Zeta电位仪。仪器使用波长671nm,功率50mW激光器作为光源,设置在173°的APD检测器进行散射光信号采集。采用单模光纤进行信号传导,以最大程度地提高信噪比。
BeNano采用纳秒级别高速相关器,为小颗粒的快速衰减相关曲线提供充足的短期相关计算范围。

样品制备和测试条件
我们使用纯净水配置了低浓度明胶溶液,溶液外观透明,pH在7附近。明胶等电点在pH=4.0-4.5之间,在高于等电点环境下明胶携带负电。在溶液中加入携带负电荷的400nm 聚苯乙烯球作为示踪粒子。由于示踪粒子和明胶均携带负电,所以之间基本没有静电吸附作用。
通过BeNano内置的温度控制系统将测试温度控制为10℃、20℃、40℃和80℃,并在此温度下进行了动态光散射微流变测试。
测试结果和讨论
通过样品的原始散射光信号,我们得到这些样品的相关曲线:

图1. 不同温度下明胶溶液的相关曲线

图2. 不同温度下明胶溶液的MSD曲线

图3. 不同温度下明胶溶液的粘弹性模量曲线

图4. 不同温度下明胶溶液的复数粘度曲线

图5. 870rad/s频率下明胶溶液的复数粘度随温度变化曲线
通过图1可以看出,随着明胶溶液温度降低,相关曲线的衰减时间增加,这表明明胶溶液温度越低,示踪粒子的运动速度越慢,这是由于溶液的粘度随着浓度上升而上升。同样,通过图2的MSD曲线可以看出,在同样的时间下,温度越低,MSD值越小,示踪粒子速度越慢。
通过图3粘弹性模量曲线可以看出,在10-80℃范围内,溶液均显示出较强的粘性模量,且粘弹性模量随着温度降低而升高。
图4中复数粘度随频率的曲线可以看出,在相对较低的频率下,复数粘度基本不随频率改变而改变,而在相对较高频率下,复数粘度呈现一定下降趋势,展示出了弱剪切变稀的性质。不同温度下复数粘度随温度升高而降低。
在图4复数粘度对温度的曲线中,取频率为870rad/s的复数粘度对温度作图,结果展示在图5中。从图中可以看出,随温度升高粘度迅速降低,且转变点与文献中报道的25-35℃之间吻合度较好。
结论
从检测结果中,我们可以看到BeNano 的微观流变学检测能力。通过微流变测试,在一个短时间测试过程中可以得到样品较高频率下的流变学参数,包括均方位移、复数粘度、粘弹性模量等等,为表征液体的流变学特性提供了有力工具。